Réactions acido-basiques, exercices de chimie de terminale S, correction, ts05chc

Chim. N°05 

Réactions acido-basiques :

Exercices. Correction.

Cours

 

 

 
logo

Programme 2012 :

Réaction chimique par échange de proton.

Programme 2012 : Physique et Chimie

Programme 2020 : Physique et Chimie

Pour aller plus loin : 

Mots clés :

 Acides et bases ; Produit ionique de l'eau ; constante d'acidité ;

acides et bases en solution aqueuse ; réactions acido-basiques ;

domaines de prédominance ; ...


1)- exercice 14 page 131

2)- Exercice 17 page 131

3)- exercice 23 page 131

4)- Exercice 36 page 133.

La liqueur de Daquin.

 

QCM N° 04
Quotient de réaction : équilibre chimique

Sous forme de tableau
QCM N° 05
Réactions acido-basiques en solution aqueuse

Sous forme de tableau

VI- Applications. Exercices :

1)- exercice 14 page 131 ;

A la température de 37 °C, le pKest égal à 13,72.

a)- Quel est le pH d’une solution neutre à cette température ?

b)- Un sang de pH égal à 7,39 est-il neutre ?

 

A la température de 37 °C, le pKest égal à 13,72.

a)- Quel est le pH d’une solution neutre à cette température ?

- Valeur du pH d’une solution neutre à cette température :

- Une solution neutre contient autant d'ions oxonium que d'ions hydroxyde.

pH = 6,86

b)- Un sang de pH égal à 7,39 est-il neutre ?

- Valeur du pH du sang à 37 °C : pHs = 7,39.

- pK S supérieur à 1/2 pKe , le sang est basique.

haut

  rertour

 

2)- Exercice 17 page 131.

Écrire les équations des réactions sur l’eau des acides suivants ainsi que l’expression littérale de leurs constantes d’acidité.

a)- Ion ammonium :

b)- acide ascorbique :

c)- ion hydrogénocarbonate :

d)- Acide méthanoïque : 

e)- Ion dihydrogénophosphate :

 

Écrire les équations des réactions sur l’eau des acides suivants ainsi que l’expression littérale de leurs constantes d’acidité.

a)- Ion ammonium :

équation et K

b)- acide ascorbique :

équation et K

c)- ion hydrogénocarbonate :

équation et K

d)- Acide méthanoïque :

équation et K

e)- Ion dihydrogénophosphate :

équation et K

haut

  retour

 

3)- exercice 23 page 131.

La levure chimique contient de l’hydrogénocarbonate de sodium et de l’acide citrique.

a)- Écrire l’équation de la réaction qui se produit entre l’ion hydrogénocarbonate HCO3  

et l’acide citrique noté HCit lors de la dissolution de la levure dans l’eau.

b)- Calculer la constante d’équilibre de cette réaction

c)- expliquer comment la levure fait gonfler la pâte ?

 

La levure chimique contient de l’hydrogénocarbonate de sodium et de l’acide citrique.

a)- Écrire l’équation de la réaction qui se produit entre l’ion hydrogénocarbonate HCO3  

et l’acide citrique noté HCit lors de la dissolution de la levure dans l’eau.

-  Équation de la réaction.

HCO3 (aq)  +  HCit (aq)  =  ( CO2, H2O)  +  Cit (aq)

b)- Calculer la constante d’équilibre de cette réaction

- Constante d’équilibre de cette réaction :

- On note :

  pKA1 (CO2, H2O / HCO3 ) = 6,35

  et pKA2 (HCit  / Cit ) = 3,5

expression de K

K = 7,1 E2

c)- expliquer comment la levure fait gonfler la pâte ?

- La réaction est avancée dans le sens de la formation de dioxyde de carbone et d’ions citrate.

- Au cours de la réaction, il se forme du dioxyde de carbone.

Il est emprisonné dans la pâte et la pression augmentant, il fait gonfler celle-ci.

haut

  retour

 

4)- Exercice 36 page 133. La liqueur de Daquin.

On se propose d’analyser la préparation d’un antiseptique de la peau et des muqueuses, contenant de l’eau de Javel diluée,

commercialisé en pharmacie sous le nom de « liqueur de Daquin ».

On prend pour valeur du produit ionique de l’eau Ke = 1,0 × 10– 14.

 Étude de l’eau de Javel :

L’eau de Javel est une solution aqueuse contenant des ions ClO , Na + et Cl en milieu basique.

L’ion hypochlorite ClO   confère à la solution un caractère oxydant mais cet ion possède aussi les caractères d’une base.

La constante d’acidité du couple acido-basique associé est

K1 = 3,2 × 10– 8.

On trouve dans le commerce de l’eau de Javel J1 titrant 12 degrés chlorométriques.

Le degré chlorométrique représente le nombre de litres de dichlore gazeux que peut libérer un litre d’eau de Javel

dans les conditions où le volume molaire est V0 = 22,4 L / mol.

Un litre d’eau de Javel réagit selon la réaction d’équation :

ClO (aq) +  2 H3O + (aq) +  Cl (aq)    3 H2O (ℓ)  +  Cl2 (aq)

a)- Quelle est la concentration des ions hypochlorite ClO dans la solution J1

b)- quel volume de solution doit-on prélever pour obtenir par dilution dans l’eau, un litre d’eau de Javel J2

dans laquelle la concentration de l’ion hypochlorite :

 C2 = 6,7 × 10 – 2  mol / L ?

- Cette eau de Javel titre alors 1,5 degré chlorométrique.

c)- Quelle est la formule de l’acide dont la base conjuguée est l’ion hypochlorite ?

- Définir la constante d’acidité K1 du couple correspondant.

d)- Le pH de la solution J2 est égal à 10,9. Exprimer puis calculer la valeur du rapport des concentrations en base et en acide conjugué.

 Propriétés de la liqueur de Daquin.

L’eau de Javel possède des propriétés antiseptiques et désinfectantes.

C’est un produit efficace contre les contaminations bactériennes et virales.

L’activité bactéricide et virucide de l’ion hypochlorite est cependant 100 fois moins importante que celle de son acide conjugué.

La liqueur de Daquin préparée en pharmacie est un mélange contenant de l’eau de Javel à 1,5 degré chlorométrique

et d’autres espèces chimiques dont 0,238 mol / L d’ions hydrogénocarbonate HCO3 .

Ce mélange contient pour le colorer et le stabiliser vis-à-vis de la lumière, 10 mg / L de permanganate de potassium.

a)- L’ion hydrogénocarbonate est l’acide du couple

HCO3 (aq) / CO32– (aq) de constante d’acidité

K 2 telle que pK 2 = 10,3.

Montrer qu’une réaction acido-basique peut avoir lieu entre l’ion hydrogénocarbonate et les ions HO –   

qui confèrent à la solution de Daquin son caractère basique.

Écrire l’équation de cette réaction.

b)- calculer la constante l’équilibre de cette réaction et conclure quant à son caractère total ou non.

c)- Le pH de cette solution est égal à 9,4. Calculer la valeur du rapport des concentrations en base ClO et en acide conjugué.

d)- Justifier l’utilisation de la liqueur de Daquin  plutôt qu’une eau de Javel J2 pour aseptiser et désinfecter les plaies et les muqueuses.

 

On se propose d’analyser la préparation d’un antiseptique de la peau et des muqueuses, contenant de l’eau de Javel diluée,

commercialisé en pharmacie sous le nom de « liqueur de Daquin ».

On prend pour valeur du produit ionique de l’eau Ke = 1,0 x 10 – 14.

 Étude de l’eau de Javel :

L’eau de Javel est une solution aqueuse contenant des ions ClO , Na + et Cl en milieu basique.

L’ion hypochlorite ClO   confère à la solution un caractère oxydant mais cet ion possède aussi les caractères d’une base.

La constante d’acidité du couple acido-basique associé est K1 = 3,2 x 10 – 8.

On trouve dans le commerce de l’eau de Javel J1 titrant 12 degrés chlorométriques.

Le degré chlorométrique représente le nombre de litres de dichlore gazeux que peut libérer un litre d’eau de Javel

dans les conditions où le volume molaire est V0 = 22,4 L / mol.

Un litre d’eau de Javel réagit selon la réaction d’équation :

ClO (aq) +  2 H3O+ (aq) +  Cl (aq)    3 H2O (ℓ)  +  Cl2 (aq)

a)- Quelle est la concentration des ions hypochlorite ClO dans la solution J1

-  Concentration C1  de la solution titrant 12 ° cl.

Équation

ClO (aq) +

2 H3O+ (aq)

Cl (aq)

3 H2O (ℓ) 

Cl2 (aq)

état

 

x (mol)

 

 

 

 

 

 

État initial

(mol)

0

n(ClO )

/////

n(Cl )

 

/////

0

Au cours

de la

transformation

x

n(ClO -) x

////

n(Cl ) x

////

x

Avancement

 maximal

xmax

n(ClO) xmax = 0

////

n(Cl) xmax = 0

 

///

xmax

- Le tableau d’avancement de la réaction permet d’écrire que :

- n (ClO) = n (Cl2) = xmax = n (Cl)

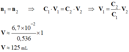
-  C2 = 0,536 mol / L

b)- quel volume de solution doit-on prélever pour obtenir par dilution dans l’eau, un litre d’eau de Javel J2

dans laquelle la concentration de l’ion hypochlorite :

 C2 = 6,7 × 10 – 2  mol / L ?

- Cette eau de Javel titre alors 1,5 degré chlorométrique.

- Volume de solution mère nécessaire.

J1

{

C1 = 0,536 mol / L

Dilution

J2

{

C2 = 6,7 × 10 2 mol / L

V1 = ?

V2

n1  = C1 . V1

 

n2  = C2 . V2

Solution mère

 

Solution fille

- Au cours de la dilution, il y a conservation de la quantité de matière de soluté :

- V = 125 mL

c)- Quelle est la formule de l’acide dont la base conjuguée est l’ion hypochlorite ?

- Définir la constante d’acidité K1 du couple correspondant.

- Couple acide / base : HClO (aq) / ClO (aq)

- La constante d’acidité découle de la réaction entre l’acide hypochloreux et l’eau.

- équation et expression de K

d)- Le pH de la solution J2 est égal à 10,9. Exprimer puis calculer la valeur du rapport des concentrations en base et en acide conjugué.

- Expression du rapport :

-  pH et pKA

- Valeur du rapport : 

- rapport : 2,5 E3

- Conclusion : 

-  [ClO -] eq   >> [HClO] eq 

 Propriétés de la liqueur de Daquin.

L’eau de Javel possède des propriétés antiseptiques et désinfectantes.

C’est un produit efficace contre les contaminations bactériennes et virales.

L’activité bactéricide et virucide de l’ion hypochlorite est cependant 100 fois moins importante que celle de son acide conjugué.

La liqueur de Daquin préparée en pharmacie est un mélange contenant de l’eau de Javel à 1,5 degré chlorométrique

et d’autres espèces chimiques dont 0,238 mol / L d’ions hydrogénocarbonate HCO3.

Ce mélange contient pour le colorer et le stabiliser vis-à-vis de la lumières, 10 mg / L de permanganate de potassium.

a)- L’ion hydrogénocarbonate est l’acide du couple HCO3 (aq) / CO3 2– (aq) de constante d’acidité K 2 telle que pK 2 = 10,3.

Montrer qu’une réaction acido-basique peut avoir lieu entre l’ion hydrogénocarbonate et les ions HO – 

qui confèrent à la solution de Daquin son caractère basique.

Écrire l’équation de cette réaction.

- Équation de cette réaction

- Cette réaction fait intervenir les couples acide / base suivants :

HCO3 (aq) / CO3 2– (aq) et H2O (l) / HO (aq)

- Il peut se produire une réaction entre ces deux couples :

- équation et expression de K

b)- calculer la constante l’équilibre de cette réaction et conclure quant à son caractère total ou non.

- Constante d'équilibre de cette réaction

- expression de K

- K = 5,0 E3

- On peut considérer que la réaction entre les ions hydrogénocarbonate et les ions hydroxyde est quasi totale.

c)-  Le pH de cette solution est égal à 9,4.

Calculer la valeur du rapport des concentrations en base ClO et en acide conjugué.

- Valeur du rapport :

-  rapport : 79

- La valeur du rapport est passée de 2,5 × 10 3  à 7,9 × 10 1 .

Elle a été divisée par 32 environ.

d)- Justifier l’utilisation de la liqueur de Daquin  plutôt qu’une eau de Javel J2 pour aseptiser et désinfecter les plaies et les muqueuses.

- La liqueur de Daquin contient plus d’acide hypochloreux qu’une solution d’eau de Javel de même concentration. .

-  L’activité bactéricide et virucide de l’ion hypochlorite est 100 fois moins importante que celle de son acide conjugué.

haut

  retour