sciences physiques sur le web

 

DS 01 : Le thermomètre de Galilée (34 min) 

 

DS 02 : Un ascenseur à bateau (30 min) 

 

Cours. Chap N° 11

Exercices

Exercices 2024

 

DS 01 : Le thermomètre de Galilée (34 min) 

Le liquide d’un thermomètre de Galilée aune masse volumique ρr (θ) qui décroît lorsque la température augmente.

 thermomètre de Galilée

 thermomètre de Galilée

Partie I : Étude théorique du mouvement :

 

Le liquide du thermomètre est à 18 ° C ; à cette température, l’ampoule portant le médaillon

« 18 ° C », de 12,0 g et de volume V, flotte. On chauffe le liquide jusqu’à 20 ° C, l’ampoule descend alors dans le tube.

On prend pour origine des dates (t = 0 s) l’instant où l’ampoule se met en mouvement.

On modélise la valeur de f de la force de frottement fluide exercée par le liquide sur l’ampoule

par f = k . vG, avec vG la valeur de la vitesse du centre de masse de l’ampoule et k le coefficient de frottement.

On définit l’axe (Oy) dirigé vers le bas dont l’origine O coïncide avec le centre de masse de l’ampoule portant le médaillon « 18 ° C » à la date t = 0 s.

1.  Représenter, sans souci d’échelle mais de façon cohérente, les forces s’exerçant sur l’ampoule en mouvement.

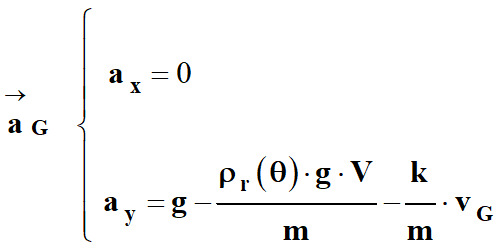
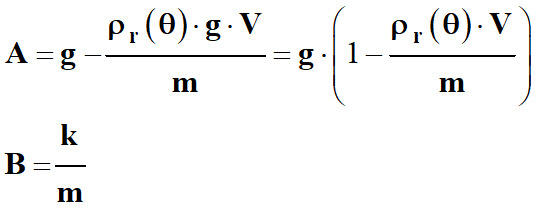
2.  Montrer que la valeur aG de l’accélération et vG de la vitesse de G sont liées par aG = AB . vG.

Exprimer A et B en fonction de m, g, k, ρr (θ) et V.

3.  Calculer A et B.

 

Partie II : Étude expérimentale du mouvement.

Une capture vidéo permet d’obtenir la courbe ci-dessous.

 courbe

Fichier Excel

1.  Justifier que l’ampoule atteint une valeur constante v et la déterminer.

2.  Montrer que valeur constante vℓ.

-  Données :

-  Volume d’une sphère : volume d'une sphère

-  Masse volumique du liquide à 20 ° C : ρ = 848 kg . m–3

-  Coefficient de frottement : k = 8,8 × 10–3 kg . s–1

-  Intensité de la pesanteur : g = 9,81 m . s–2.


Correction

haut

DS 02 : Un ascenseur à bateau (30 min) 

La roue de Falkirk est un ascenseur rotatif à bateaux construit près de la ville  de Falkirk dans le centre de l’Écosse.

Après environ 3 ans de travaux, cet ascenseur a été inauguré par la Reine en mai 2002.

Les bras tourant comporte deux godets remplis d’eau, situés à chacune des extrémités.

Un système de roues dentées permet la rotation du bras.

 ascenseur à bateau

Dans un référentiel terrestre supposé galiléen, le système étudié est un godet contenant de l’eau et un bateau dont le centre de masse est G.

 

PARTIE I : Le système d’enregistrement  du mouvement.

 

Un dispositif de pointage a permis de repérer la position de G lors du fonctionnement de l’ascenseur.

 chronophotographie

1.  Donner la nature du mouvement de G.

2.  Exprimer les coordonnées du vecteur accélération du centre de masse G du système, dans un repère de Frenet.

 

PARTIE II :  Le roulis.

 

Le roulis est un mouvement d’oscillations latérales du bateau.

Afin que le roulis soit négligeable lors de l’ascension, la valeur de l’accélération du centre de masse G du système, dans son mouvement autour de C, doit être faible :

elle ne doit pas dépasser  un centième de l’accélération de la pesanteur terrestre (= 9,81 m . s–2).

Le roulis est-il négligeable ici ?


Correction

haut

DS 01 : Le thermomètre de Galilée

Partie I : Étude théorique du mouvement :

 

1.  Représentation des forces s’exerçant sur l’ampoule en mouvement.

-  Système : S = {m, G)

-  Référentiel d’étude ; référentiel terrestre lié au tube en verre.

-  référentiel terrestre 

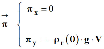
-  Bilan des forces :

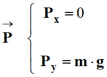
-  Poids de l’ampoule : vecteur poids avec  P = m . g

-  Poussée d’Archimède : vecteur Pi avec π = ρr (θ) . g . V

-  Force de frottement : vecteur f avec f = f = k . vG

-  Schéma :

 schéma du bilan des forces

-  Coordonnées des différents vecteurs

-  vecteur P 

-  vecteur Pi 

-  vecteur f 

 

2.  Valeur aG de l’accélération et vG de la vitesse de G

  Deuxième loi de Newton :

Dans un référentiel galiléen, la somme des vecteurs forces somme des vecteurs forces appliquées à

un système S, de masse m et de centre de masse G, est égal au produit

de sa masse m par le vecteur accélération vecteur accélérationde son centre de masse.

 deucième loi de Newton

Valeur des forces F en newton (N)

Valeur de la masse m en kilogramme (kg)

Valeur de l’accélération aG

en mètre par seconde au carré (m . s–2)

-  Dans le cas présent :

-  deucième loi de Newton 

-  deucième loi de Newton 

- deucième loi de Newton  

-  Coordonnées du vecteur accélération :

-  vecteur accélération

-  Relation entre aG et vG :

-  Relation entre aG et vG 

-  aG = AB . vG.

-  Expression de A et B en fonction de m, g, k, ρr (θ) et V.

-  En identifiant :

-  identification 

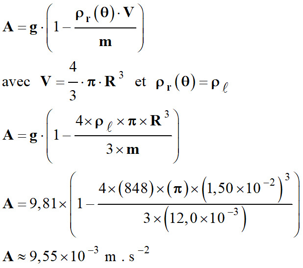
3.  Calcul de A et B.

-  Valeur de A :

-  valeur de A 

-  Valeur de B :

-  valeur de B 

 

 

Partie II : Étude expérimentale du mouvement.

 

1.  Justification que l’ampoule atteint une valeur constante v.

-  Étude du graphe vG = f (t) :

 graphe vG = f (t)

Fichier Excel

-  La courbe  vG = f (t) présente une asymptote horizontale.

-  Au cours du mouvement, l’ampoule atteint une vitesse limite v

-  Exploitation graphique : c’est la valeur asymptotique de la vitesse :

-  Valeur de la vitesse limite v.

-  v≈ 13 mm . s–1

2.  Relation : relation .

 

-  Retour sur la deuxième loi de Newton :

- deuxième loi de Newton  

-  La force de frottement vecteur force : au départ initial

-  On peut distinguer deux grandes lois de variation pour la valeur de la force de frottement fluide .

-  Lorsque la vitesse limite atteinte est « faible », la force de frottement fluide est de la forme :

-   f = k . vG

-  Lorsque la vitesse limite atteinte est « grande », la force de frottement fluide est de la forme :

-  f = k . vG2

-  Au départ, la valeur de la force de frottement est nulle.

-  Le poids étant supérieur à la poussée d’Archimède, l’ampoule descend avec une vitesse vG croissante.

-  Au cours de la chute, la valeur de la force de frottement fluide, qui s’oppose au mouvement, augmente.

-  La valeur de la vitesse vG continue à augmenter mais de moins en moins rapidement.

-  Si la durée de la chute est suffisante, la bille atteint une vitesse limite.

-  Alors la vitesse de l’ampoule est constante.

-  L’ampoule est animée d’un mouvement rectiligne uniforme.

-  Elle est soumise à des actions dont les effets se compensent : c’est la réciproque du principe de l’inertie.

-  Le mouvement de l’ampoule dans le fluide comprend deux phases :

-  Un régime transitoire au cours de laquelle la vitesse vG augmente et

-  un régime permanent où la bille a atteint sa vitesse limite v.

-  Dans ce cas : condition d'équilibre, l’accélération est nulle et vG = v

-  aG = AB . v = 0

-   

-  Application numérique :

-  vℓ = 13 mm / s 

Chute verticale avec frottement :

 bille dans l'huile

Chute dans un fluide :


haut

DS 02 : Un ascenseur à bateau (30 min) 

PARTIE I : Le système d’enregistrement  du mouvement.

 

1.  Donner la nature du mouvement de G.

-  Système : S = {m, G)

-  Référentiel d’étude ; référentiel terrestre supposé galiléen

-  référentiel terrestre 

 schéma

 échelles

-  Le centre de masse G parcourt des arcs égaux pendant des durées égales.

-  La valeur de la vitesse est constante, mais sa direction change au cours du temps

-  La distance CG au cours du déplacement vaut CG = R ≈ 12 m

-  La trajectoire du centre de masse G est circulaire de centre C et de rayon R = 12 m.

-  En conclusion, le mouvement du centre de masse G est circulaire uniforme.

-  Valeur de la vitesse :

 schéma

échelles

-  L’angle balayé par le rayon vecteur pendant Δt = 30 s vaut :

-  angle balayé : 0,286 rad 

α ≈ 16,4 °

-  Longueur de l’arc parcouru par G :

-  D = R . α = 12 × 0,286

-  D ≈ 3,4 m

-  Vitesse du centre de masse G dans le référentiel R :

-  vitesse : 0,11 m / s 

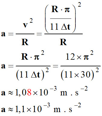
 2.  Expression les coordonnées du vecteur accélération du centre de masse G du système, dans un repère de Frenet.

-  Le repère de Frenet :

-  Ce repère est bien utile pour l’étude des mouvements circulaires (uniformes)

-  Considérons un point mobile G animé d’un mouvement circulaire uniforme.

-  La trajectoire est un cercle de centre O et de rayon R  et la valeur de la vitesse ne change pas au cours du temps.

-  Pour simplifier l’étude d’un tel mouvement et en déduire les caractéristiques, il faut utiliser le repère de Frenet :

-  repère de Frenet 

-  vecteur unitaire désigne un vecteur unitaire tangent à la trajectoire et orienté dans le sens du mouvement.

-  vecteur unitaire désigne un vecteur unitaire perpendiculaire à vecteur unitaire et orienté vers le centre O du cercle.

-  Schéma :

 schéma

-  Expression de l’accélération :

-  Expression de l’accélération 

-  Accélération tangentielle Accélération tangentielle qui dépend de la variation de la valeur de la vitesse :

-  Accélération tangentielle avec Accélération tangentielle

-  Accélération normale Accélération normale qui est liée à la variation de la direction du vecteur vitesse.

-  Accélération normale avec Accélération normale

-  Autre expression du vecteur accélération :

-  vecteur accélération 

-  Dans le cas d’un mouvement circulaire uniforme :

L'accélération tangentielle est nulle, car  Accélération tangentielle

-  Le vecteur accélération est alors centripète et sa valeur a est constante.

-  Accélération normale 

-  Le mobile parcourt des arcs égaux pendant des durées égales.

Mouvement

Circulaire uniforme

Vecteur vitesse

 vecteur vitesse

Direction :

variable et tangente à la trajectoire

Sens : celui du mouvement

Valeur :  v = constante

Unité : m . s–1

Vecteur accélération :

 vecteur accélération

Direction :

variable et perpendiculaire à la trajectoire

Sens : vers le centre de la trajectoire

Valeur : a = v² / R

Unités :

v : m . s–1 ; R : m et a : m . s–2

 

PARTIE II Le roulis.

 

-  Valeur de l’accélération du centre de masse G du système

-  a = 1,1 E-3 m / s² 

-  Comparaison avec la valeur de 1/100 de  = 9,81 m . s–2

-  Comparaison 

a = 90 x g / 100

-  En conséquence, le roulis est négligeable.

haut