|
Contrôle N° 04 Sciences physiques, année 2003 Terminale S énoncé et correction |
|
|
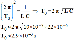
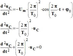
Un condensateur, de bornes A et B et de capacité C = 22 μF est préalablement chargé sous une tension E = 4,0 V.
Il est branché, à un instant pris pour origine des dates, aux bornes M et N d’une bobine d’inductance L = 10 mH et de résistance quasi nulle.
Un oscilloscope à mémoire permet d’enregistrer la tension uAB = uC aux bornes du condensateur et de visualiser les oscillations électriques obtenues.






décrit la variation
de la tension uC au cours du temps.
.
et 


Ou

On considère la pile représentée ci-dessous.

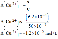
Les volumes des solutions dans les deux demi-piles valent : V 1 = V 2 = 50 mL.
[Cu 2+]
i = 0,10 mol / L et [Al 3+] i
= 0,10 mol / L
Lorsqu’on branche un voltmètre électronique avec sa borne COM reliée à l’électrode d’aluminium, on mesure une différence de potentiel U = + 1,6 V.

|
Réduction |
3 ( |
Cu 2+ (aq) |
+ |
2 e – |
= |
Cu (s) |
) |
|
|
|
Oxydation |
|
|
2 ( |
Al (s) |
= |
3 e – |
+ |
Al 3+ (aq) |
) |
|
Oxydoréduction |
|
3 Cu 2+
(aq |
+ |
2 Al (s) |
→ |
3 Cu (s) |
+ |
2 Al 3+ (aq) |
|
|
Équation |
Al (s) |
= |
Al 3+ (aq) |
+ 3 e – |
|
|
état |
Avancement x (mol) |
mol |
|
mol |
mol |
|
État initial (mol) |
0 |
n
1 |
|
C
i
.V |
0 |
|
Au bout de la durée
Δt |
x |
n
1 - x |
|
C
i
.V - x |
3 x |

|
Équation |
Cu 2+ (aq) |
+ |
3 e – |
= |
Cu (s) |
|
|
état |
Avancement x (mol) |
mol |
|
mol |
|
mol |
|
État initial (mol) |
0 |
C
i
.V |
|
0 |
|
n
1 |
|
Au bout de la durée
Δt |
x |
C
i
.V - x
|
|
2 x |
|
n
1 - x |
On donne : F = 96500 C / mol et M (Al) = 27 g / mol