|
II- Exercice 2 : Mesure de la capacité d’un condensateur
On considère le montage de la figure 1
composé :
- d’un générateur de tension de force électromotrice
E.
- d’un condensateur de capacité C inconnue.
- d’un conducteur ohmique de résistance
R = 20 Ω.
- d’une bobine d’inductance L
= 0,35 H.
- d’un interrupteur à deux positions.
- d’un oscilloscope. 1)- Partie A : Circuit R, C Le condensateur est initialement déchargé, à la date t = 0, on ferme l’interrupteur en position 1.
On enregistre la tension
uC ;
On obtient
la courbe de la figure 2. a)- Représenter (sur le schéma de la figure 1 de la feuille en annexe) par une flèche le sens de circulation du courant d’intensité i dans le circuit ainsi que les tensions uC et uR aux bornes du condensateur et du conducteur ohmique afin de travailler en convention récepteur.
Figure 1 : b)- Indiquer sur le schéma de la figure 1 (de la feuille en annexe) les connexions à réaliser pour visualiser la tension uC avec un oscilloscope.
c)- Quelle tension permet de connaître les variations de l’intensité du courant i en fonction du temps ? Justifier votre réponse ? - La tension uR permet d’après la loi d’Ohm de connaître les variations de l’intensité i en fonction du temps : - uR = R i - Il y a proportionnalité entre uR et i. d)- Déterminer la tension E aux bornes du générateur ainsi que les valeurs de l’intensité du courant au début et à la fin de la charge. - Valeur de la tension uC aux bornes du condensateur lorsque le régime permanent est atteint : - La loi d’additivité des tensions permet d’écrire la relation suivante : E = uR + u C - Lorsque le condensateur est chargé, l’intensité du courant dans le circuit est égale à zéro : - uR = 0 ⇒ E = uC = 2,0 V : - Valeur que l’on détermine grâce à la représentation graphique de uC. - Valeurs de l’intensité du courant : - Au début de la charge, la tension aux bornes du condensateur est nulle (il est déchargé) :
-
- Lorsque le condensateur est chargé,
l’intensité du courant s’annule dans le circuit :
i∞ =
e)- Tracer l’allure de la courbe donnant l’évolution de l’intensité i du courant au cours du temps. - Allure de la courbe : f)- On rappelle que la tension uC atteint 63 % de sa valeur maximale au bout d’une durée τ appelée constante de temps du circuit. En déduire la valeur de τ puis la valeur de la capacité C du condensateur. - Au bout de la durée τ,
- - Graphiquement, on trouve : τ ≈ 24 s. - Valeur de la capacité C du condensateur :
- 2)- Partie B : Circuit R, L, C Le condensateur étant chargé, l’interrupteur est basculé en position 2. On enregistre la tension uC.
On obtient la courbe de la
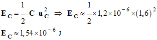
figure 3 de la feuille en annexe. a)- Comment appelle-t-on le type d’oscillations observées ? - On observe des oscillations libres amorties. b)- Mesurer la pseudo-période T des oscillations. - pseudo-période T des oscillations : graphiquement : T ≈ 4,0 ms. c)- Calculer l’énergie EC emmagasinée dans le condensateur à la date t 1 = 4,0 ms. Quelle est à cet instant l’énergie EL emmagasinée dans la bobine ainsi que l’énergie totale ET du circuit ? Cette dernière reste-t-elle constante ? Pourquoi ? - Au temps t = 4,0 ms, la tension u C aux bornes du condensateur est maximale : uC ≈ 1,6 V. - Valeur de l’énergie emmagasinée dans le condensateur :
- Énergie totale dans le circuit au temps t = 4,0 ms : - Comme la tension u C aux bornes du condensateur est maximale , EL = 0,0 J - ET = EC + EL = E C ≈ 1,54 × 10 – 6 J - L’énergie totale dans le circuit diminue au cours du temps à cause de la dissipation d’énergie par effet Joule dans les résistances du circuit.
On supprime à présent du circuit
le conducteur ohmique. d)- Établir l’équation différentielle vérifiée par la tension uC. - La loi d’additivité des tensions dans le circuit permet d’obtenir la relation suivante : - uC + uL = 0 (1)
- Or
- On tire :
- On en déduit l’équation différentielle linéaire du deuxième ordre sans second membre :
-
e)- La solution de cette équation différentielle est de la forme uC = A cos (B.t + C ), déterminer les valeurs des constantes A , B et C . - détermination des constantes : - On calcule les dérivées successives :
-
-
-
Conditions initiales : au temps
t
= 0 s, i =
- Au temps
t = 0 s,
i =
- – A.B sin (C) = 0 ⇒ sin (C) = 0 ⇒ C = 0 ou C = π - Au temps t = 0 s, uC (0) = E = 2 V, comme : - uC (0) = A sin (C) = E > 0 ⇒ C = 0 et A = E - L’expression uC = A cos ( B.t + C ) vérifie l’équation différentielle (2), en conséquence :
- Cette équation doit être vérifiée ceci quel que soit t : il faut que :
- - Expression de la solution :
- f)- Déduire de la question précédente que l’intensité du courant électrique dans le circuit peut s’écrire :
- Intensité du courant électrique dans le circuit :
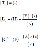
g)- La période propre du circuit L, C est donnée par une des relations suivantes :
A l’aide d’une étude dimensionnelle choisir la bonne relation. - Analyse dimensionnelle :
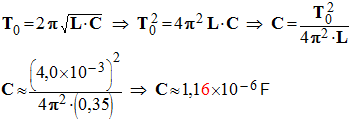
h)- En admettant que la pseudo-période T est identique à la période T0 (mesurée à la question b)- ) , en déduire la valeur de la capacité C du condensateur . Comparer cette valeur à celle trouvée à la question f)- de la partie A.
- Valeur de la capacité du condensateur :
-
- En toute logique, on doit garder 2 chiffres significatifs.
- écart
relatif :
- L’écart relatif entre les deux valeurs est faible. - Les deux valeurs sont cohérentes. |
Nom :
Annexe
