Chim N° 07 Extraction d'espèces chimiques, exercices et correction

Chim. N° 07

Extraction

d'espèces chimiques.

Exercices

Cours

 

 

Mots clés :

Cours de chimie seconde

Extraction, solvant, extraction par un solvant,

hydrodistillation, distillation,

Les différentes techniques d'extraction, extraction du diiode,

QCM ,

extrcaton solide/liquide, extraction liquide/liquide,

chlorophylle, chlorophylle brute, carotène,

chromatographie, salade, épinards, chlorophylle a,

chlorophyle b,

spectre absorption ,  ...

 

 
logo



I- Exercice 1 : Décrire des procédés d’extraction.

II- Exercice 2 : Choisir un procédé d’extraction.

III- Exercice 4 : Décrire un procédé d’extraction.

IV- Exercice 6 : Séparer les phases de l’hydrodistillat.

V- Exercice 9 : L’estragol.

VI- Exercice 10 : Dangereux solvant.

VII- Exercice 15 : Les bienfaits de la menthe poivrée.

VIII- Exercice 17 : L’huile de palme. Additif (pour aller plus loin)


I- Exercice 1 : Décrire des procédés d’extraction.

 

flacon d'huile d'olive

L’huile d’olive a des propriétés bénéfiques sur le plan cardio-vasculaire.

Les huiles d’olives vierges sont obtenues à partir du fruit de l’olivier uniquement par des procédés mécaniques  à froid

(lavage, malaxage, pressage, décantation de l’huile et de l’eau, centrifugation ou filtration).

Les huiles de grignons sont obtenues par traitement au solvant (heptane…) de grignons d’olive,

résidus composés des fragments de peaux, de pulpe et de noyaux.

Décrire les procédés d’extraction cités en gras dans le texte, en s’aidant éventuellement de schémas.

 

Pressage : Les olives sont nettoyées puis versées sur une piste de pierre sur laquelle tourne une lourde meule

également de pierre, qui les broie, jusqu'à obtenir une pâte (Peau, pulpe et noyaux sont ainsi écrasés et broyés).

Cette pâte est déposée en couche sur des couffins tressés, les scourtins, que l'on empile sous une presse, actionnée à la main.

L'huile s'égoutte à travers les mailles des scourtins entassés.

C’est la technique de l’expression.

Décantation : On laisse reposer le mélange huile-eau.

L’huile et l’eau étant deux liquides non miscibles et l’huile étant moins dense que l’eau, elle surnage.

On peut la récupérer grâce à une ampoule à décanter.

On peut aussi l’écoper avec un récipient adapté.

Filtration : On laisse passer le mélange au travers d’un dispositif poreux  pour séparer les phases liquides et solide du mélange.

Les scourtins retiennent la partie solide constituée des restes de noyaux et de pulpe d'olive et laissent s'écouler le liquide composé d'huile et d'eau.

pressage des olives

Traitement au solvant : Les grignons d’olive sont mélangés à l’heptane qui extrait l’huile.

Car l’huile est plus soluble dans l’heptane que dans l’eau. On réalise une extraction par un solvant.

haut

 

II- Exercice 2 : Choisir un procédé d’extraction.

 

La reine-des-prés contient, entre autres, de l’acide salicylique, principe actif efficace contre la fièvre et précurseur de l’aspirine.

Cet acide est peu soluble dans l’eau froide, mais soluble dans l’eau chaude.

La notice d’une boîte de tisane de reine-des-prés est reproduite ci-dessous.

Mode d’emploi de l’infusette reine-des-prés Araquelle

Laisser infuser un sachet-dose de reine-des-prés Bio dans unetasse d’eau chaude pendant 3 à 4 minutes

Ne pas mettre dans l’eau bouillante, dont la vapeur élimine l’acide salicylique.

Possibilité de consommer 3 tisanes par jour de reine-des-présaprès chaque repas.

1)- Quelle propriété de l’acide salicylique justifie l’emploi de la reine-des-prés comme tisane ?

2)- L’utilise-t-on en décoction ou en infusion ? Justifier.

 

1)- Propriété de l’acide salicylique :

- On utilise la solubilité de l’acide salicylique dans l’eau chaude.

2)- Il faut utiliser la tisane de reine-des-prés en infusion, car ladécoction élimine l’acide salicylique.

 

haut

III- Exercice 4 : Décrire un procédé d’extraction.

 

L’urucum (ou roucou) est une plante d’Amazonie traditionnellementutilisée par des indiens pour se protéger du Soleil et des moustiques,

d’où le nom de « Peaux-Rouges » qui leur était donné.

Les graines d’urucum sont encore plus riches en bêta-carotène que les carottes.

La poudre qui en est issue est insoluble dans l’eau, mais soluble dansl’éthanol ou les huiles végétales.

1)- Proposer un solvant d’extraction possible à partir des indications du texte. Décrire le procédé à mettre en œuvre.

2)- Un livre indique la recette suivante :

- « Laisser l’urucum au contact de l’huile végétale pendant 5 jours, en remuant de temps en temps. Filtrer.

On peut aussi laisser se faire naturellement la séparation. »

- Nommer les trois techniques évoquées dans cette recette.

 

1)- Comme solvant d’extraction, on peut utiliser l’éthanol.

Il est dit dans l’énoncé que la poudre d’urucum est soluble dans l’éthanol.

2)- Les techniques évoquées :

« Laisser l’urucum au contact de l’huile végétale pendant

5 jours, en remuant de temps en temps » :

-  Extraction par un solvant.

« Filtrer »

-  La filtration.

« On peut aussi laisser se faire naturellement la séparation. »

-  La décantation.

 

haut

IV- Exercice 6 : Séparer les phases de l’hydrodistillat.

 

L’eugénol, aux effets antiseptiques, entre dans la composition de nombreux médicaments (solutions pour usage dentaire).

Elle est obtenue par hydrodistillation des clous de girofle.

Une extraction par un solvant est nécessaire pour récupérer l’huile essentielle présente dans le distillat.

On assimilera l’huile essentielle à l’eugénol.

L’eugénol est peu soluble dans l’eau et insoluble dans l’eau salée.

Il est cependant très soluble dans l’éthanol, le dichlorométhane, et un peu dans le chloroforme.

L’éthanol est miscible à l’eau.

Le dichlorométhane et le chloroforme sont non miscibles à l’eau.

1)- Quel solvant d’extraction peut-on à priori choisir ? Justifier.

2)- Lors de l’extraction, une étape consiste à ajouter du chlorure de sodium dans la phase aqueuse :

Quel est l’intérêt de cette technique ?

 

1)- Comme solvant on peut choisir le dichlorométhane :

-  L’eugénol est plus soluble dans le dichlorométhane que dans l’eau,

- Et le dichlorométhane est insoluble dans l’eau.

- Remarque 1 : on ne choisit pas le chloroforme car l’eugénol est plus soluble dans le dichlorométhane que dans le chloroforme.

- Remarque 2 : on ne choisit pas l’éthanol bien que l’eugénol y soit très soluble car l’éthanol est miscible à l’eau.

2)- L’ajout de chlorure de sodium à l’eau s’appelle le relargage.

- Cette technique permet d’éliminer l’eugénol encore présent dans la phase aqueuse et de la faire passer dans la phase organique (dichlorométhane)

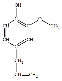
Eugénol : 2-methoxy-4-(prop-2-en-1-yl)phenol

Formule brute : C10H12O2

Eugénol : 2-methoxy-4-(prop-2-en-1-yl)phenol Eugénol : 2-methoxy-4-(prop-2-en-1-yl)phenol

 

 

haut

V- Exercice 9 : L’estragol.

 

L’estragol est une espèce chimique présente dans les feuilles d’estragon.

L’huile essentielle d’estragon aurait des vertus antiallergiques.

Elle peut être extraite par hydrodistillation.

Les phases aqueuse et organique de l’hydrodistillat obtenu sont très difficiles à séparer par une simple décantation.

Une extraction à l’aide d’un solvant est nécessaire.

1)- Parmi les solvants proposés dans le tableau ci-dessous,

lesquels peut-on à priori choisir ? Justifier la réponse.

Cyclohexane

Dichlorométhane

éthanol

Eau

Densité

0,78

1,33

0,79

1,0

Miscibilité

 avec l’eau

Non

Non

Oui

Oui

Solubilité

de l’huile

 essentielle

Soluble

Soluble

Soluble

insoluble

Pictogramme

 de sécurité

irritantinflammable

dangereux pour l'environnement

irritant

inflammable

-

Pictogrammes

 harmonisés

 

dangereux pour l'hommeinflammable

dangereux pour l'environnement

dangereux pour l'homme

inflammable

-

Pictogrammes harmonisés :

Ressource Wikipédia : lien à copier :

https://fr.wikipedia.org/wiki/Système_général_harmonisé_de_

classification_et_d'étiquetage_des_produits_chimiques

Phrases de

 risques R

11, 38,

 50 / 53,

65, 67

40 – Effet

 cancérogène

 suspecté

11

-

Mentions de

 danger H

225, 304,

315, 336,

 410

351 –

 Susceptible de

 provoquer le

 cancer

225

-

2)- Pour des questions de santé et de sécurité, l’un de ces solvants est à éviter particulièrement : lequel ?

3)- Décrire les différentes opérations à effectuer lors de cette extraction par un solvant.

4)- Schématiser ces différentes étapes, en précisant les positions des phases.

5)- Pour vérifier la présence d’estragol dans l’extrait obtenu, on réalise une chromatographie.

Le chromatogramme obtenu est représenté ci-dessus.

Les lettres correspondent aux dépôts d’estragol pur (en A) et d’extrait (en B).

Interpréter le chromatogramme.

CCM

 

1)- Choix du solvant :

- On peut utiliser le cyclohexane et le dichlorométhane.

- Ils sont non miscibles à l’eau et l’estragol y est soluble.

- Remarque : on ne choisit pas l’éthanol bien que l’estragol y soit soluble car l’éthanol est miscible à l’eau.

2)- Questions de santé et de sécurité :

-  Le dichlorométhane est suspecté d’être cancérogène, il faut éviter de l’utiliser.

3)- Différentes opérations à effectuer lors de cette extraction par un solvant :

- Introduire l’hydrodistillat dans une ampoule à décanter.

-  Introduire de l’eau salée, fermer et secouer pour effectuer un lavage.

- Introduire quelques mL de cyclohexane, boucher l’ampoule

à décanter, agiter et laisser décanter.

-  Récupérer la phase organique (phase supérieure).

4)- Schémas de l’extraction par un solvant.

ampoule à décanter

ampoule à décanter

Ne pas oublier de mettre le bouchon et de le maintenir

ampoule à décanter

On laisse reposer le mélange

ampoule à décanter

 ampoule à décanter

ampoule à décanter

On laisse décanter

ampoule à décanter

ampoule à décanter

5)- Interprétation du chromatogramme :

-  L’extrait est un mélange (plusieurs taches) qui contient de l’estragol (deux taches au même niveau)

CCM

 

haut

VI- Exercice 10 : Dangereux solvant.

 

Pendant très longtemps le café a été décaféiné par extraction de la caféine à l’aide du trichlorométhane

(chloroforme) dont un extrait de l’étiquette est fourni ci-après :

Masse molaire

119,4 g / mil

Point de fusion

- 63,5 ° C

Point d’ébullition

61,3 ° C

Densité

1,9

Système européen

de signalisation

toxique

Phrases R :

22, 38, 40,

18/20/22

Phrases S : 2, 36/37

Système général

harmonisé

dangereux pour l'hommedanger

Mentions

de danger H

H302, H315,

H351, H373

1)- Quel est l’état physique du trichlorométhane à 25 ° C.

2)- La caféine est-elle soluble dans le trichlorométhane ?

3)- Pour quelle raison a-t-on abandonné l’extraction de la caféine par le trichlorométhane ?

4)- On dispose, au laboratoire, d’une préparation à base de café qui contient entre autres, de la caféine dissoute dans l’eau.

- Sachant que la caféine est peu soluble dans l’eau, proposer un protocole opératoire permettant d’extraire la caféine de cette préparation.

Faire un schéma illustrant l’étape principale de l’extraction en précisant la position des diverses phases.

 

1)- À 25 ° C, le trichlorométhane se trouve à l’état liquide :

2)- La caféine est soluble dans le trichlorométhane car c’est le solvant utilisé pour l’extraire.

La caféine : C8H10N4O2

caféinecaféine 

3)- Le trichlorométhane :

Pictogrammes harmonisés : Ressource Wikipédia :

https://fr.wikipedia.org/wiki/Système_général_harmonisé_de_classification_et_d'étiquetage_des_produits_chimiques

-  Le trichlorométhane est toxique toxique.

- H302 : Nocif en cas d'ingestion ;  H315:

Provoque une irritation cutanée

- H351 : Susceptible de provoquer le cancer.

- H373 : Risque présumé d'effets graves pour les organes à la suite d'expositions répétées ou d'une exposition prolongée.

- Autant éviter de l’utiliser.

4)- Protocole opératoire de l’extraction par un solvant :

- On ajoute du trichlorométhane à la solution aqueuse de caféine dans une ampoule à décanter.

- On agite et on laisse décanter :

- La phase organique plus dense que la phase aqueuse se situe en dessous.

-  On recueille la phase organique qui contient principalement la caféine.

ampoule à décanter

 

haut

VII- Exercice 15 : Les bienfaits de la menthe poivrée.

 

La menthe poivrée a des propriétés anti-inflammatoires et antivirales, dues entre autres au menthol et à l’eucalyptol.

On la trouve traditionnellement dans les pastilles contre le mal de gorge.

L’huile essentielle est obtenue par hydrodistillation des feuilles de menthe poivrée.

bonbon

1)- Schématiser et légender le montage.

On cherche à déterminer la composition de l’huile essentielle de menthe poivrée.

On réalise pour cela une chromatographie sur couche mince avec un éluant adapté.

Le chromatogramme est donné ci-après.

CCM

2)- Quel est le rôle de l’éluant ?

3)- Que représentent les traits situés en haut et en bas du chromatogramme ?

4)- Interpréter le chromatogramme obtenu.

 

1)- Schéma légendé du montage d’hydrodistillation.

hydrodistillation

- Légende :

1 : Vallet (support)

2 : Mélange (Eau-feuille de menthe poivrée)

3 : Thermomètre

4 : Réfrigérant à eau

5 : Arrivée et Sortie de l’eau

6 : Éprouvette

7 : Feuilles de menthe poivrée broyées.

menthe poivrée

2)- Rôle de l’éluant : Il permet de solubiliser les espèces chimiques et de les faire migrer sur le support.

3)- Les deux traits :

- Trait le plus bas : la ligne de dépôt des espèces chimiques

- Trait supérieur : front de l’éluant.

4)- Interprétation du chromatogramme :

- Du chromatogramme, on peut déduire que la menthe poivrée contient du menthol, de l’eugénol et d’autres espèces chimiques inconnues.

Le menthol : C10H20O

mentholmenthol

 

 

haut

VIII- Exercice 17 : L’huile de palme.

 

À cause de son faible coût, l’huile de palme est massivement utilisée dans une grande variété de produits alimentaires.

La demande croissante a un impact majeur en termes d’écologie et de sécurité alimentaire :

Les plantations de palmiers à huile entraînent une déforestation intensive de l’Asie du Sud-est

(essentiellement l’Indonésie et la Malaisie) et augmentent significativement

l’effet de serre :

L’huile de palme est composée d’acides gras trans dont la consommation est nuisible pour la santé. D’après l’AFSSAPS

(Agence française de sécurité sanitaire des produits de santé) et l’EFSA (Autorité européenne de Sécurité des aliments),

ils doubleraient le risque d’accident cardiovasculaire.

L’huile de palme est néanmoins un ingrédient essentiel de la cuisine africaine, car elle est extraite de la pulpe des fruits du palmier à huile,

arbre endémique de certaines régions tropicales (Tanzanie, Bénin, Nigéria, Sénégal, Togo)

Les méthodes d’extraction artisanales de l’huile de palme varient, mais on retrouve toujours les mêmes grandes étapes :

Égrappage, puis ébouillantage des fruits ;

Malaxage : les fruits sont déchiquetés et l’huile est libérée.

De l’eau bouillante est apportée au malaxeur artisanal.

L’huile est entraînée par l’eau et le mélange eau-huile s’écoule dans un bassin de réception ;

L’huile qui flotte au-dessus de l’eau, peut en être aisément séparée. L’addition de sel facilite le processus ;

L’huile est écopée à la calebasse et filtrée au travers d’un tamis qui retient les quelques fibres entraînées.

1)- Rechercher la signification des mots et expression en gras dans le texte.

2)- Dans quels produits alimentaires d’usage courant trouve-t-on de l’huile de palme ? (consulter les étiquettes dans les lieux de vente)

3)- Pourquoi n’est-il ni écologique ni sain de consommer de l’huile de palme ?

4)- Nommer les différents procédés d’extraction et de séparation cités dans le texte.

5)- La densité de l’huile est-elle plus grande ou plus petite que celle de l’eau ?

6)- L’huile est insoluble dans l’eau salée. À quoi sert l’addition de sel ?

7)- Extraction de l’huile de palme :

a)-  La température de fusion de l’huile de palme est comprise entre 36 ° C et 40 ° C. Quel est l’état physique de l’huile de palme à 25 ° C

b)-  Pourquoi l’extraction se fait-elle à chaud ?

 

1)- Mots et expressions :

- Effet de serre : C’est un processus naturel qui, pour une absorption donnée d'énergie électromagnétique,

provenant du Soleil (dans le cas des corps du système solaire) ou d'autresétoiles (dans le cas général),

confère au corps qui reçoit cette énergie une température de surface nettement supérieure à une situation « sans effet de serre ».

- « L'effet de serre » est dû à la présence de gaz à effet de serre (GES) contenus dans l'atmosphère.

Une partie du rayonnement solaire traverse l'atmosphère et atteint le sol, qui en retour émet un rayonnement thermique qui, lui,

est absorbé par les GES, ce qui réchauffe l'atmosphère, qui elle-même réchauffe le sol (dans le cas de la Terre :

la croûte terrestre, la biosphère et l'hydrosphère).

Une augmentation de la concentration des gaz à effet de serre dans l'atmosphère participe au réchauffement climatique.

effet de serre

 

- Endémique : une espèce est dite endémique d'une région déterminée si elle n'existe que là.

Une espèce endémique (ou un taxon endémique) l'est obligatoirement par rapport à un territoire nommé :

le koala est endémique de l'Australie, le cyprès de Lambert est un arbre endémique de la Californie (même s'il a ensuite été planté dans le monde entier).

-  Égrappage : les fruits du palmier sont séparés de la rafle du régime.

fruits du palmier

huile de palme   Additif

- Écopée à la calebasse : La crème huileuse qui flotte en surface est récupérer grâce à un récipient plat, la calebasse fruit du calebassier dont l'arbre est originaire

d'Amérique tropicale et a été introduit dans tous les pays tropicaux.

La calebasse est appelée COUI dans les caraïbes et elle est utilisée comme récipient par les ménagères dans leur cuisine et comme écope par les pêcheurs.

calebasse

2)- Produits alimentaires d’usage courant contenant

de l’huile de palme :

-  Elle est présente quasiment à notre insu dans la plupart des produits que nous consommons au quotidien.

- L’huile de palme est mentionnée sur les étiquettes, parfois avec la simple mention "huile végétale" dans l'alimentation.

- La mention "huile végétale" renferme : huile de colza et huile de palme le plus souvent.

- Lorsque le produit ne contient que de l’huile de colza, cela est indiqué sur l’étiquette.

- Si le produit contient de l’huile de palme et de l’huile de colza, alors sur l’étiquette du produit, il y a la mention : "huile végétale".

herbes de Provence

 étiquette

étiquette

 étiquette

3)- Les dangers de l’huile de palme :

- Les plantations de palmiers à huile entraînent une déforestation intensive.

- L’huile de palme est composée d’acides gras trans dont la consommation est nuisible pour la santé.

- Cette huile massivement utilisée par l'industrie agro-alimentaire est aussi fortement suspectée de favoriser les troubles cardio-vasculaires chez les populations occidentales.

- L'huile de palme est aujourd'hui la plus consommée dans le monde (25 %), dépassant de peu l'huile de soja (24 %) et de loin celles de colza (12 %) et de tournesol (7 %).

4)- Les différents procédés d’extraction et de séparation cités dans le texte :

Texte 1: Malaxage : les fruits sont déchiquetés et l’huile est libérée

-  Procédé  1: l’expression.

Texte 2 : L’addition de sel facilite le processus 

-  Procédé 2 : le relargage.

Texte 3 : L’huile est écopée à la calebasse :

-  Procédé 3 : la séparation.

Texte 4 : filtrée au travers d’un tamis qui retient les quelques fibres entraînées ;

- Procédé 4 : la filtration.

5)- Densité de l’huile de palme :

-  L’huile de palme, qui surnage sur la phase aqueuse car elle peut être écopée à la calebasse, a une densité inférieure à celle de l’eau.

6)-  Addition de sel : le relargage.

- L’extraction de l’huile de palme est facilitée  par l’ajout de sel car l’huile est moins soluble dans l’eau salée que dans l’eau.

7)- Extraction de l'huile de palme :

a)-  À 25 ° C, l’huile de palme se trouve à l’état solide.

b)-  L’extraction se fait à chaud afin que l’huile de palme se trouve à l’état liquide.

haut