|
Pour s'auto-évaluer |
Mouvement des satellites. |
|
|
|
|
|
QCM N° 13
Mouvement des
satellites.
Pour chaque
question, indiquer la (ou les) bonne(s) réponse(s). |
|||||
|
|
Énoncé |
A |
B |
C |
R |
|
1 |
Pour appliquer la
deuxième
loi de Newton au
mouvement
de la Lune autour
de la Terre,
le référentiel
d’étude adapté
est le
référentiel : |
Géocentrique |
héliocentrique |
terrestre |
A |
|
2 |
La Terre est en
orbite
elliptique dans
le référentiel : |
Géocentrique |
héliocentrique |
terrestre |
B |
|
3 |
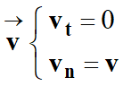
Dans le repère de
Frenet,
les coordonnées
du vecteur
vitesse
mouvement
circulaire sont : |
|
|
|
B |
|
4 |
Dans le repère de
Frenet,
si un point M
est en
mouvement
circulaire
selon le cercle
de rayon R, les coordonnées de son
vecteur
accélération sont : |
|
|
|
C |
|
5 |
La période de
révolution
d’une planète
est : |
La durée mise
par la planète
pour faire
un tour sur
elle-même |
La durée mise
par la planète
pour faire
un tour autour
du Soleil |
La durée
d’une journée
sur cette
planète |
B |
|
6 |
Une planète de
masse m
en mouvement
circulaire
uniforme de rayon
r autour
du Soleil de
masse MS.
Sa vitesse est :
|
|
|
|
A |
|
7 |
La période de
révolution
de la planète de
masse m
en mouvement
circulaire
uniforme de rayon
r autour
du Soleil de
masse MS est : |
|
|
|
A |
|
8 |
La période de
révolution T
d’un système en
orbite
circulaire de
rayon R autour
d’un astre
attracteur vérifie la
relation, avec
k une constante : |
|
|
|
C |
|
9 |
Un satellite
géostationnaire : |
Peut se situer
à la verticale
au-dessus de
Paris |
Possède un
mouvement
circulaire
uniforme
autour de la
Terre |
Se situe
toujours à
36000 km
du centre de
la Terre |
B |
|
10 |
L’accélération
d’un
satellite
géostationnaire : |
Est nulle |
Est constante
et inversement
proportionnelle
au rayon de
l’orbite |
Varie en
fonction de
sa position
sur l’orbite |
B |
QCM réalisé avec le logiciel Questy
Pour s’auto-évaluer
Les référentiels :
-
Le référentiel terrestre ou référentiel du
laboratoire.
-
On utilise, le plus souvent, comme repère lié
au référentiel terrestre, deux axes horizontaux et un axe vertical.
-
Le référentiel géocentrique.
-
L’origine du repère lié au
référentiel Géocentrique est
située au centre de la Terre.
-
L’axe
z’Oz est orienté vers une étoile lointaine : on peut
choisir l’étoile polaire.
-
Les axes
x’Ox et y’Oy
sont situés dans le plan équatorial et ils sont orientés vers des étoiles
lointaines supposées fixes.
-
Ce référentiel est commode pour l’étude des
satellites de la Terre.
-
Ce référentiel n’est pas entraîné dans le
mouvement de rotation de la Terre.
-
Dans ce référentiel, la Terre est animée d’un
mouvement de rotation uniforme de l’ouest vers l’est, autour de l’axe des pôles
-
Le référentiel héliocentrique ou de Copernic.
-
L’origine du repère lié au
référentiel Héliocentrique
est située au centre du Soleil.
-
Les axes
z’Oz, x’Ox
et y’Oy sont orthogonaux et
ils sont orientés vers des étoiles lointaines supposées fixes.
-
Ce référentiel est commode pour l’étude des
satellites du Soleil.
-
Dans ce référentiel, la Terre décrit une
orbite elliptique autour du Soleil en une année.
-
Le référentiel géocentrique est le référentiel le mieux adapté pour étudier le mouvement des satellites de la Terre.Repère de Frenet :
-
Ce repère est bien utile pour l’étude des mouvements circulaires (uniformes)
-
Pour simplifier l’étude d’un tel mouvement et en
déduire les caractéristiques, il faut utiliser le repère de Frenet :
-

-
:
désigne un vecteur
unitaire tangent à la trajectoire et orienté dans le sens du mouvement.
-
: désigne un vecteur
unitaire perpendiculaire à
et orienté vers le centre
O du cercle.

-
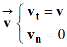
Le vecteur vitesse est tangent à la trajectoire
au point considéré
.
-
Le vecteur vitesse change de direction à chaque
instant.
-
Le vecteur accélération peut se décomposer de la
façon suivante :
-
-
En conséquence, le vecteur accélération peut être
décomposé en une :
-
Accélération tangentielle
qui dépend
de la variation de la valeur de la vitesse :
-
avec 
-
Accélération normale
qui est
liée à la variation de la direction du vecteur vitesse.
-
avec 
Période de révolution :
-
La période de révolution d’une planète du système solaire est la durée qu’elle met pour effectuer
un tour autour du Soleil :
-
Expression de la vitesse d’une planète du système solaire :
-
Une recherche rapide.
-
La planète de masse m est soumise à la force
exercée
par le Soleil.
-
Expression de cette force :
-
-
Comme le mouvement de la planète est circulaire uniforme :
-
L’accélération est normale :
-
![]()
-
La deuxième loi de Newton permet d’écrire :
-

Troisième loi de Kepler : Loi des périodes.
-
Pour toutes les planètes, le rapport entre le cube du demi-grand axe a de
la trajectoire et le carré de la période T de révolution est la même :
.
-
Cette constante ne dépend pas de la masse de la planète.
-
Si la trajectoire est un cercle de rayon r, on peut écrire que :
.
-
Cette constante peut être calculée.
-
Dans le cas d’une planète du système solaire :
-
La constante s’identifie à 
-
En conséquence, on peut déterminer la masse du Soleil à partir de la période de
révolution T et du rayon r de l’orbite d’une planète à trajectoire
circulaire.
-
Mesure de la constante de gravitation par Cavendish (1798)
Les satellites géostationnaires :
-
Un Satellite Géostationnaire est un satellite qui reste toujours à la verticale
d’un même point P de la Terre.
-
Le plan de l’orbite dans le référentiel géocentrique est le plan équatorial.
-
« Ces satellites sont positionnés à la verticale d’un point de l’équateur et
sont immobiles par rapport à la surface de la Terre ».
-
Un satellite géostationnaire est immobile dans un référentiel terrestre.
-
C’est pour cette raison que l’on peut pointer une antenne dans sa direction.
-
Un satellite géostationnaire est animé d’un mouvement circulaire dans le
référentiel géocentrique.
►
Période de révolution T d’un Satellite Géostationnaire :
-
Le satellite géostationnaire met la même durée que celle mise par la Terre pour
effectuer un tour autour de l’axe des pôles
-
C’est la durée pour effectuer un tour dans le référentiel géocentrique :
-
C’est la durée d’un jour sidéral
-
1 j = 86164 s = 23 h 56 min 4 s
►
Altitude de révolution h d’un Satellite Géostationnaire :
-
Schéma de la situation :

Accélération du satellite géostationnaire :
-
Le vecteur accélération est centripète et sa valeur a est constante.
-

|
Mouvement |
Circulaire uniforme |
|
Vecteur vitesse
|
Direction :
variable et tangente à la trajectoire |
|
Sens : celui du mouvement |
|
|
Valeur : v = constante |
|
|
Unité : m . s–1 |
|
|
Vecteur accélération :
|
Direction :
variable et perpendiculaire à la trajectoire |
|
Sens : vers le centre de la trajectoire |
|
|
Valeur : |
|
|
Unités :
v :
m . s–1 ; R : m et a : m . s–2 |
|
|