devoir 01, correction, terminale S, Chimie et spéléologie

Devoir

 Correction

Énoncé 

 

Chimie et spéléologie.

   

 

 
logo

Chimie et spéléologie  

Dans le cadre d’un projet pluridisciplinaire sur le thème de la spéléologie,

 des élèves de terminale doivent faire l’exploration d’une grotte où ils

 risquent de rencontrer des nappes de dioxyde de carbone CO2

A teneur élevée, ce gaz peut entraîner des évanouissements et même la mort. 

Le dioxyde de carbone est formé par action des eaux de ruissellement acides

sur le carbonate de calcium CaCO3 présent dans les roches calcaires. 

Le professeur de chimie leur propose d’étudier cette réaction.

 

Données :

 

Température du laboratoire

au moment de l’expérience :

25°C soit T = 298 K

Pression atmosphérique :

Patm = 1,020.105 Pa

Loi des gaz parfaits :

P . V = n . R . T

Constante des gaz parfaits :

R = 8,31 SI

Masses molaires atomiques,

en g.mol1 :    

M (C) = 12 ; M (H) = 1,0 ;

M (O) = 16 ; M (Ca) = 40

Densité d’un gaz par rapport à l’air :

densité d'un gaz, M est la masse molaire du gaz.

 

Dans un ballon, on réalise la réaction entre le carbonate de calcium CaCO 3 (s) et l’acide chlorhydrique (H3O+(aq) + Cl(aq)). 

Le dioxyde de carbone formé est recueilli par déplacement d’eau, dans une éprouvette graduée.

Un élève verse dans le ballon, un volume VS = 100 mL d’acide chlorhydrique à 0,100 mol.L-1.

A la date t = 0 s, il introduit rapidement dans le ballon 2,0 g de carbonate de calcium CaCO3 (s) 

tandis qu’un camarade déclenche un chronomètre. 

Les élèves relèvent les valeurs du volume V (CO2) de dioxyde de carbone dégagé en fonction du temps.

Elles sont reportées dans le tableau ci-dessous.

La pression du gaz est égale à la pression atmosphérique.

 

t (s)

0

20

40

60

80

100

120

140

160

180

200

220

240

V (CO2)  (mL)

0

29

51

68

81

91

98

103

108

111

113

115

117

t (s)

260

280

300

320

340

360

380

400

420

440

460

480

500

V (CO2)  (mL)

118

118

119

120

120

120

120

121

121

121

121

121

121

 

La réaction chimique étudiée peut être modélisée par l’équation :

CaCO3 (s)  +  2 H3O+(aq)   =   Ca2+(aq)  +  CO2 (g)  +  3 H2O ()

1. Calculer la densité par rapport à l’air du dioxyde de carbone CO2 (g)

Dans quelles parties de la grotte ce gaz est-il susceptible de s’accumuler ?

-  La densité du dioxyde de carbone par rapport à l'air :

-  d = 1,5

-  La densité du dioxyde de carbone est supérieure à la densité de l'air qui est égale à 1. 

-  Le dioxyde de carbone se trouvera dans les endroits les plus bas de la grotte

(voir le schéma ci-dessous).

grotte et CO2

2. Déterminer les quantités de matière initiale de chacun des réactifs.

-  Quantités de matières initiales des réactifs :

-  Quantité de matière de carbonate de calcium :

-  n1 = 2,0 E-2 mol

-  Quantité de matière des ions oxonium :

-  n2 = n (H3O+) = [ H3O+ ] . Vs

-  n2 = n (H3O+) = 0,10 × 100 × 10– 3

-  n2 = n (H3O+) = 1,0 × 10– 2 mol

3. Dresser le tableau d’avancement de la réaction. 

-  En déduire la valeur xmax de l’avancement maximum. 

-  Quel est le réactif limitant ?

Tableau d’avancement de la réaction :

Équation

CaCO3 (s)

+ 2 H3O+ (aq)

=

Ca2+ (aq

+ CO2 (g)

+ 3 H2O (ℓ)

état

Avancement

x (mol)

mol

 

 

 

 

 

État initial

(mol)

0

n1 = 2,0 × 10– 2

n2 = 1,0 × 10– 2

 

0

0

Solvant

Au cours de la

transformation

x

n1 – x

n2 – 2 x

x

x

Solvant

Avancement

final

xf

n1 – xf

n2 – 2 xf

xf

xf

Solvant

Avancement

 maximal

xmax

n1 – xmax  ≥  0

n2 – 2 xmax  ≥  0

 

xmax

xmax

Solvant

5,0 × 10– 3

1,5 × 10– 2

0

 

5,0 × 10– 3

5,0 × 10– 3

Solvant

 

-  Hypothèse 1 : on considère que le réactif limitant est le carbonate de calcium.

En conséquence :

-  n1 – xmax1  =  0  => xmax1  =  n1 = 2,0 × 10– 2 mol

-  Hypothèse 2 : on considère que le réactif limitant est l’ion oxonium.

-  En conséquence :

-  n2 – 2 xmax2  =  0  =>  xmax2   = n2 / 2 =  5,0 × 10– 3 mol

-  Détermination de xmax : L’avancement maximal est égal à la plus petite des deux valeurs :

-  xmax = xmax2 = n2  ≈ 5,0 × 10– 3 mol

-  On peut compléter la dernière ligne du tableau :

-  L’ion oxonium est le réactif limitant. Il disparaît en fin de réaction.

Le carbonate de calcium est en excès.

4.     Relations :

a)-   Exprimer l’avancement x de la réaction à une date t en fonction de V (CO2), T, Patm et R.

-  Avancement x de la réaction à une date t en fonction de V (CO2), T, Patm et R.

-  D'après le tableau d'avancement : x = n (CO2)

-  On utilise  l'équation d'état des gaz parfaits :

-  relation avancement

b)-  Calculer sa valeur numérique à la date t = 20 s.

-  Valeur numérique à t = 20 s :

-  x (20) = 1,2 E-3 mol

c)-  Calculer le volume maximum de gaz susceptible d’être recueilli dans les conditions de l’expérience.

La transformation est-elle totale ?

-  Volume maximum de dioxyde de carbone obtenu.

-  V max (CO2) = 1,2 E2 mL

-  Le volume de dioxyde de carbone en fin d'expérience correspond au volume maximal de dioxyde de carbone dégagé. 

-  On peut considérer que la transformation chimique est totale.

5. Les élèves ont calculé les valeurs de l’avancement x et reporté les résultats sur le graphe donné en annexe

(à rendre avec la copie).

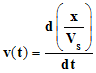
a)- Donner l’expression de la vitesse volumique de réaction en fonction de l’avancement x et du volume VS de solution. 

-  Comment varie la vitesse volumique au cours du temps ? 

-  Justifier à l’aide du graphe.

-  Vitesse volumique de la réaction :

-  Par définition :

-  La vitesse volumique de réaction v (t) à la date t, est la dérivée par rapport au temps,

-  Du rapport entre l’avancement x de la réaction et le volume Vs du milieu réactionnel.

-  vitesse volumique

-  Lorsque l’on travaille à volume constant, on obtient la relation suivante :

-  Relation :vitesse volumique

-  Au cours du temps, la vitesse volumique de la réaction diminue car la variation de l’avancement de la réaction diminue.

b)-  Définir le temps de demi-réaction t1/2

Déterminer graphiquement sa valeur sur l’annexe.

-  Le temps de demi-réaction est la durée au bout de laquelle l'avancement de la réaction est égal à la moitié de sa valeur finale.

-  Dans le cas présent : xf = xmax = n2  ≈ 5,0 × 10– 3 mol

-  A t ½, x = 2,5 × 10– 3 mol.

Graphiquement, on trouve t ½ ≈ 50 s.

 

graphique x = f (t)

Cliquer sur l'image pour l'agrandir

6. La température de la grotte qui doit être explorée par les élèves est inférieure à 25°C.

a)-  Quel est l’effet de cet abaissement de température sur la vitesse volumique de réaction à la date t = 0 s ?

-  La vitesse volumique de la réaction dépend de la température.

La température est un facteur cinétique.

-  Plus la température diminue, plus la vitesse volumique de la réaction diminue, ceci quelle que soit la date.

b)- Tracer, sur l’annexe, l’allure de l’évolution de l’avancement en fonction du temps dans ce cas.

graphique x = f(t) et température

Cliquer sur l'image pour l'agrandir

7. La réaction précédente peut être suivie en mesurant la conductivité σ de la solution en fonction du temps.

a)-  Faire l’inventaire des ions présents dans la solution. Quel est l’ion spectateur dont la concentration ne varie pas ?

-  Ions présents :

les ions oxonium H3O+, les ions calcium Ca2+ et les ions chlorure Cl

-  Les ions chlorure sont des ions spectateurs (ils n'interviennent pas dans le bilan de la réaction chimique).

b)-  On observe expérimentalement une diminution de la conductivité. 

Justifier sans calcul ce résultat connaissant les valeurs des conductivités molaires des ions à 25°C :

                        λ (H3O+) = 35,0 mS . m2 . mol–1

                        λ (Ca2+) = 12,0 mS . m2 . mol–1

                        λ (Cl) = 7,5 mS . m2 . mol–1

-  La concentration des ions chlorure ne varie pas. 

-  A chaque fois que deux ions oxonium sont consommés, un seul ion calcium est produit. 

-  Le nombre d'ions présents dans la solution diminue et la conductivité ionique molaire de l'ion oxonium est bien plus grande

que la conductivité molaire de l'ion calcium. 

-  Il est logique d'observer une diminution de la conductivité de la solution.

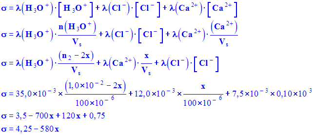
c)-   Calculer la conductivité σ de la solution à l’instant de date t = 0 s.

-  Conductivité de la solution au temps t = 0 s.

-  σ0 λ(H3O+). [ H3O+ ]0 + λ ( Cl ). [Cl]0 

σ0 = {λ (H3O+) + λ (Cl )}.[ H3O+ ]0

-  σ0 = (35,0 × 10– 3  + 7,5 × 10– 3 ) × 0,10 × 103

-  σ0 = 4,25 S . m – 1

d)-  Montrer que la conductivité est reliée à l’avancement x par la relation : σ = 4,25 – 580 x

-  Relation donnant la conductivité en fonction de l’avancement x :

-  conductivité

e)-  Calculer la conductivité de la solution pour la valeur maximale de l’avancement.

-  Conductivité de la solution pour l’avancement maximal.

-  conductivité : 1,35 S / m

graphique

Cliquer sur l'image pour l'agrandir  

EXERCICE I : ANNEXE À RENDRE AVEC LA COPIE

graphique x = f (t)

Cliquer sur l'image pour l'agrandir  

haut