|
Phys. N° 13 |
Oscillateurs mécaniques : Exercices. Correction. |
|
|
|
Pour aller plus loin :
|
Mots clés : Système oscillant ; pendule simple ; pendule élastique ; résonance ;
... |
1)- Les différents graphiques.
- Tableau de valeurs :
|
ℓ en
m |
T
s |
T ² s ² |
1
/
ℓ m-1 |
|
ℓ ² en m ² |
|
0,10 |
0,632 |
0,400 |
10,00 |
0,32 |
0,01 |
|
0,20 |
0,900 |
0,810 |
5,00 |
0,45 |
0,04 |
|
0,30 |
1,095 |
1,200 |
3,33 |
0,55 |
0,09 |
|
0,40 |
1,285 |
1,650 |
2,50 |
0,63 |
0,16 |
|
0,50 |
1,432 |
2,050 |
2,00 |
0,71 |
0,25 |
|
0,60 |
1,556 |
2,420 |
1,67 |
0,77 |
0,36 |
|
0,70 |
1,670 |
2,790 |
1,43 |
0,84 |
0,49 |
|
0,80 |
1,794 |
3,220 |
1,25 |
0,89 |
0,64 |
|
0,90 |
1,903 |
3,620 |
1,11 |
0,95 |
0,81 |
|
1,00 |
2,000 |
4,000 |
1,00 |
1,00 |
1,00 |
b)-
Le graphique le plus simple : graphique 2 :c)-
Relation entre T et ℓ :d)-
Unité et valeur de K :
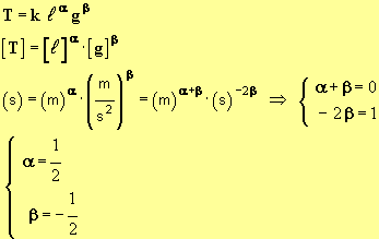
2)- Valeurs des constantes
α et β :-
- L’expression de la période du pendule simple :
- Ceci est en accord avec la question 1)- b)- :
est homogène à un temps.
1)- Tracé de
|
α
(en °) |
90 |
70 |
50 |
30 |
20 |
10 |
|
Δt (en s) |
19,9 |
20,6 |
22,6 |
28,2 |
33,9 |
46,5 |
|
|
0,32 |
0,33 |
0,36 |
0,45 |
0,55 |
0,77 |
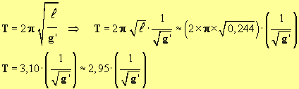
2)- Équation de la courbe :
- Les points étant sensiblement alignés, le modèle choisit est la fonction affine.
- On remarque que la droite moyenne passe pratiquement par l’origine (b ≈ 0,065 qui est négligeable devant 2,95)
-
3)- Conclusion.
- Le pendule simple a une longueur ℓ = 24,4 cm.
- En utilisant l’expression de la période pour un pendule simple, on peut écrire que :
-
-
- Le nombre de mesures est insuffisant pour avoir une bonne précision.
1)- Caractéristiques du mouvement :
- Période des oscillations.
- Graphiquement, on remarque que la durée de deux périodes est de 1,5 s : T ≈ 0,75 s.
- L’amplitude des oscillations : Ym = 0,04 m.
- Fréquence des oscillations :
2)- Étude de
.
- Ce graphique montre que :
.
- L’équation différentielle est de la forme :
- Le graphique est en accord avec l’équation différentielle.
- On remarque que : k = - ω2.
- Du graphique, on tire la valeur du coefficient directeur de la droite : k = - ω2 ≈ - 69 s - 2.
3)- Période propre et pseudo-période.
- Période propre du pendule élastique :
-
- On retrouve cette valeur avec la courbe y = f (t).
- Avec la valeur :
- Avec :
