On réalise l’oxydation des ions iodure I–
(aq) (du couple I2 (aq)
/ I– (aq)) par les ions peroxodisulfate
S2O82– (aq)
(du couple S2O82–
(aq) / SO42– (aq)).
1)- Écrire l’équation de la réaction d’oxydoréduction
correspondante.
|
S2O82–
(aq) +
2
e –
= 2 SO42–
(aq)
|
|
2 I– (aq)
=
I 2 (aq)
+
2
e –
|
|
S2O82–
(aq) + 2
I– (aq)
→ 2 SO42–
(aq) +
I2 (aq)
|
Cette transformation est lente.
Pour suivre l’évolution en fonction du temps de la
concentration en diiode I2 (aq)
dans le milieu réactionnel, on réalise quatre expériences dans des
conditions différentes puis on trace les courbes [I2]
= f (t) correspondantes.
Les conditions expérimentales et les courbes
obtenues sont les suivantes.

2)- Par quelles techniques peut-on suivre l’évolution de cette
réaction ? Préciser de façon détaillée.
-
Les techniques que l’on peut utiliser :
-
Une technique chimique : le dosage
iodométrique.
-
On dose le diiode formé avec une solution
titrée de thiosulfate de sodium.
-
Comme indicateur de fin de réaction, on
utilise l’empois d’amidon.
-
Pour arrêter la réaction a une date donnée,
on utilise la trempe qui consiste à refroidir brutalement le mélange
réactionnel.
-
Une technique physique : le suivi
spectrophotométrique.
-
Le diiode en solution aqueuse donne une
solution colorée.
-
On mesure l’absorbance A de la
solution au cours du temps.
-
Grâce à la loi de Beer-Lambert :
-
L’absorbance d’une solution diluée
contenant une espèce colorée est proportionnelle à la concentration
(effective) C de cette
espèce et à l’épaisseur ℓ (cm) de la solution traversée par le faisceau
lumineux.
-
A = ε (λ) . ℓ . C = k . C
-
On peut en déduire les variations de la
concentration en diiode au cours du temps.
-
Remarque :
-
ε (λ) est
appelé coefficient d’extinction molaire ou coefficient d’absorption
molaire.
-
Il dépend de la nature de l’espèce dissoute
et de la longueur d’onde de la radiation utilisée.
-
Il dépend également du solvant et de la
température.
-
Unité : mol
– 1.L.cm
– 1
3)- Quels facteurs cinétiques sont ainsi mis en évidence ? Préciser
leurs effets. Justifier votre réponse de façon détaillée.
-
Les facteurs cinétiques mis en évidence
sont :
-
La concentration des réactifs et la
température.
-
Expériences 1 et 3 : Les concentrations des réactifs sont
les mêmes, la température change :
-
θ1 = 20 ° C et : θ3 = 35 °
C
-
Observons les différentes courbes [I2] = f (t) :
-
La courbe
se trouve au-dessous de la
courbe
.
-
Pour une même durée, [I2]1
< [I2]3.
-
En conséquence, l’avancement temporel de la
réaction augmente avec la température et la vitesse de la réaction
augmente avec la température θ. La température est un facteur
cinétique.
-
Expériences 1 et 2 : La température θ est la même,
mais les concentrations des réactifs ont été doublées.
-
Observons les différentes courbes [I2] = f (t) :
-
La courbe
se trouve au-dessous de la
courbe
.
-
Pour une même durée, [I2]1
< [I2]2.
-
En conséquence, l’avancement temporel de la
réaction augmente avec la des réactifs et la vitesse de la réaction
augmente avec la concentration des réactifs.
-
La concentration des réactifs est un
facteur cinétique.
4)- Le volume du mélange réactionnel lors de l’expérience 1
est V = 100 mL. Déterminer la valeur de l’avancement maximal xmax
de la réaction. En déduire la valeur de la concentration en diiode
correspondante.
-
Le plus simple est d’utiliser le tableau d’avancement de la
réaction
|
Équation
|
S2O82–
(aq)
|
+
2 I–
(aq)
|
→
|
2 I–
(aq)
|
+ 2
SO42–
(aq)
|
|
état
|
Avanc.
x
(mol)
|
|
|
|
n
t (I
2)
|
|
|
État initial (mol)
|
0
|
n 0 (S2O82–)
|
n 0 (I–)
|
|
0
|
0
|
|
Au cours
Trans.
|
x(t)
|
n 0 (S2O82–)
- x
|
n 0 (I–)
– 2 x
|
x
|
2
x
|
|
Av. max (mol)
|
x max
|
n 0 (S2O82–)
- xmax
|
n 0 (I–)
– 2 xmax
|
|
xmax
|
2
xmax
|
-
Quantités de matières des réactifs à
l’instant initial :
-
Quantité de matière de diiode :
-

-
Quantité de matière d’ions
peroxodisulfate :
-
-
Il faut résoudre le système d’inéquations :
-
-
Concentration en diiode correspondante :
-
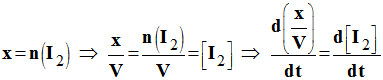
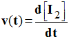
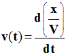
5)- Définir la vitesse volumique d’une réaction chimique. Sachant
que x = n (I2) à chaque instant,
déterminer la valeur de la vitesse de la réaction chimique lors de l’expérience
4 à la date t = 20 min. Préciser la méthode utilisée.
-
Définition : La vitesse volumique de
réaction v(t) à la date t, est la dérivée par rapport au
temps,
-
Du rapport entre l’avancement x de
la réaction et le volume V du milieu réactionnel.
-
-
Lorsque l’on travaille à volume constant,
on obtient la relation suivante :
-
Relation :

-
Pour déterminer la valeur de la vitesse de
réaction, on trace la tangente à la courbe [I2]
= f (t), car

-
En conséquence :
.
-
La valeur du coefficient directeur de la
tangente donne la valeur de la vitesse à l’instant considéré.
-
On trace la tangente à la courbe [I
2] = f (t) relative à l’expérience 1 au temps
t = 20 min.
Tracé

-
Δt ≈ 30
min et Δ[I2] ≈ 8,0
x 10 – 3
mol / L
-

Le radium
, de demi – vie
t ½ = 1600 ans, émet une particule radioactive
a avec production de radon
Rn et un rayonnement γ.
1)- écrire l’équation
de la réaction de désintégration.
-
Équation bilan de la réaction de désintégration :
-
2)- Que représente la grandeur
? Calculer sa valeur.
-
La grandeur τ représente la constante de temps.
-
Elle s’exprime en seconde s : τ ≈
7,28
× 10 10 s
3)- Donner l’expression littérale de la perte de masse au cours de
cette réaction.
-
Perte de masse : |Δm| = |mf
– mi | = |(mα + mRn) – mRn
|
-
Au cours d’une réaction radioactive, la
masse du système diminue.
4)- Calculer la valeur de la perte de masse en unité de masse
atomique.
-
Valeur de la perte de masse en unité de masse atomique :
-
|Δm| = |mf – mi
| = |(mα + mRn) – mRn
|
-
|Δm| ≈ |(4,00150 + 221,97027) –
225,97700|
-
|Δm| ≈ 0,00523 u
5)- Donner l’expression littérale de l’énergie dissipée E
lors de la désintégration d’un noyau de radium au repos. Justifier cette
expression.
-
Au cours de la réaction, la masse du système diminue, le système
libère de l’énergie.
-
Cette énergie est dissipée vers le milieu
extérieur sous forme d’énergie cinétique et de rayonnement.
-
6)- Calculer cette énergie E en MeV et en joule. En déduire
l’énergie dissipée pour une mole de radium en joule.
-

-

|
Données
|
|
Masse d’un noyau : :
mRa = 225,97700 u
Masse d’un noyau de radon : mRn = 221,97027 u
Masse d’une particule alpha : mα = 4,00150 u
|
Nombre d’Avogadro :

1 MeV = 1,60
× 10 –
13 J
1 u = 931,5 MeV /
c²
|